TDCC Laboratory
TDCC 研究室

   HOME ENGLISH                                         

浅井康之氏の卵形曲線の方程式(その3)

浅井康之氏(数学独学塾塾長)(東京都町田市), 山本信雄


浅井氏の提案による卵形曲線のご報告が、氏より寄せられました。
氏のご了承の上に、メールで戴いた資料をもとにして山本も計算を進め、再構成してみました。

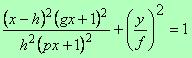
    浅井氏の提案による新たな 卵形曲線(一次式と二次式の差を利用する方法)の方程式 は次のとおりです。

                     ,                        (1)

または、因数分解で表す次の式です。

                     .                        (2)

    ここでは、(2)式を扱います。(2)式の解は

                     .                        (3)

    (3)式が描くx-y 座標系の曲線が x-軸を横切る4つの x 値 は、(3)式で y=0 と置いた次式から求められます。

                     .                        (4)

    (4)式を解いて、

                     ,                        (5)

                     ,                        (6)

および、

                     .                        (7)

    各パラメータ値を とするとき、 の領域では(3)式は「卵形曲線」を与え、 の領域では(3)式は「おむすび形」の図形をあたえます。 他の領域は曲線が存在しません。これらを図1に示します。


図1  の場合


図2 現実の卵との比較



    (3)式を数値計算して図1の曲線を得るための C++ プログラムはこちら 1個の曲線の計算プログラムです。 このプログラムを画面上でコピーを取ります。
    次に、C++ システム・ファイルを立ち上げて、「ファイル」の中の 「新規作成」をクリックすると、プログラム編集画面が現れますが、 この画面に上記コピーしたプログラムを貼り付けます。そして、 「ビルド」をクリックすると実行ファイルが作成されます。 さらに、「実行」をクリックすることにより、 「egg-shaped curve_1.txt」、および、 「egg-shaped curve_2.txt」という名の2個のテキストファイルが作られて、 前者は「おにぎり形曲線」、後者が「卵形曲線」の計算された各座標データ(各曲線上の各 x-y 座標点の座標データ)が格納されます。
    次に、この各テキストファイルに格納されたデータを、それぞれのエクセルファイルに移し変えます。それには、エクセルファイルの 「外部データの取り込み」機能で行います。 ただし、ここに紹介した計算プログラムの場合、テキストファイルに保存される データ間の仕切りはカンマ()で指定してありますので、 「外部データの取り込み」にはこれを選択します。
    最後に、各エクセルファイルに移された各列の x-y 座標データ全てをドラッグした後に、エクセルファイルにある 「グラフ ウィザード」をクリックして、 その中の「散布図」を選び、スムーズなカーブになる絵図をクリックすると曲線が描かれます。 2個のグラフを1つのエクセルファイルにするには各自が工夫をしてください。



~ブラウザの「戻る」で 前に開いたページに戻ります~

~または、下のボタンを押して HOME に戻ります~


HOME

Updated: 2011.05.29, edited by N. Yamamoto.
Revised on Feb. 06, 2015, Mar. 16, 2015, Aug. 15, 2019, Mar. 03, 2020, May 05, 2020, Jan. 17, 2021, May 08, 2021, Mar. 06, 2022 and Mar. 06, 2022.