TDCC Laboratory
TDCC 研究室

   HOME ENGLISH                                         

浅井康之氏の新たな3種の卵形曲線

浅井康之氏(数学独学塾塾長)(東京都町田市), 山本信雄

浅井氏の提案による3種の卵形曲線のご報告が寄せられました。
氏のご了承の上に、メールで戴いた資料をもとにして山本も計算を進め、再構成してみました。

    本サイトは   折り紙で卵形モデルをつくるGENERATING AVIAN EGG USING RATIONAL BEZIER QUADRATIC CURVES に紹介されています。

    上記のサイトや論文に紹介・引用された本サイトの著者名が 「jukuchou and Yamamoto」、「 山本信雄」となっていますが、本サイトのアドレスが古い順に 「http://www16.ocn.ne.jp:80/~akiko-y/Egg_by_SuudokuJuku2/index_egg_by_SuudokuJuku2.html」、「http://www.geocities.jp/nyjp07/Egg_by_SuudokuJuku2/index_egg_by_SuudokuJuku2.html」、「http://www.geocities.jp/nyjp07/index_egg_by_SuudokuJuku2.html」 を経過して現在の本サイトのアドレス「http://nyjp07.com/index_egg_by_SuudokuJuku2.html」になっています。
    古いアドレスは使えませんが、無料の インターネット・アーカイブ検索(Internet Archive)古いアドレスを検索すると、保存されていた当時のサイトが現れる可能性があります。


1.   卵形曲線(楕円を y 軸方向へ非一様に拡大する)
図1 卵形曲線(楕円を y 軸方向へ非一様に拡大する)

    浅井氏の提案による 卵形曲線(楕円を y 軸方向へ非一様に拡大する)の方程式 は次のとおりです。

                     .                        (1)

    (1)式を変形すると次式が得られます。

                     .                        (2)

    (2)式をコンピュータで計算させてグラフに表すと,図1のようになります。

    a=1.5, b=1.05, c=11 の場合と現実の卵との比較を図2に示します。 図4を見て分かるように、卵形曲線は現実の卵の形とほぼ一致しているようです。





図2 a=1.5, b=1.05, c=11 のときの
卵形曲線
(ピンク色のカーブ)
現実の卵の形との比較

    (1)式を数値計算して図1の曲線群を得るための C++ プログラムはこちら 曲線群の計算プログラム 1bです。 画面表示のプログラムをマウスでドラッグしてコピーを取ると、自由にご利用できます。
    また、図1のうちの1個の曲線を得るための C++ プログラムはこちら 1個の曲線の計算プログラム 1です。 このプログラムで、定数 a, b, c の数値を変えることにより曲線の形を変えることができます。
    次に、 C++ システム・ファイル上の「ファイル」の中の 「新規作成」をクリックすると、編集画面が現れますが、 この画面に上記コピーしたプログラムを貼り付けます。場合によっては編集も行います。そして、 「ビルド」をクリックすると実行ファイルが作成されます。 さらに、「実行」をクリックすることにより、上記どちらのプログラムでも、 「egg_shaped_curve.txt」という名のテキストファイルが作られて、 計算されたデータ(卵形曲線上の各 x-y 座標点の座標データ)が格納されます。
    次に、このテキストファイルに格納されたデータをエクセルファイルに移し変えます。それには、エクセルファイルの 「外部データの取り込み」機能で行います。 ただし、ここに紹介した計算プログラムの場合、テキストファイルに保存される データ間の仕切りはカンマ()で指定してありますので、 「外部データの取り込み」にはこれを選択します。
    最後に、エクセルファイルに移された各列の x-y 座標データ全てをドラッグした後に、エクセルファイルにある 「グラフ ウィザード」をクリックして、 その中の「散布図」を選び、スムーズなカーブになる絵図をクリックすると卵形曲線が描かれます。


2.   卵形曲線(回転する円の半径と中心を振動させる)
図3 卵形曲線(回転する円の半径と中心を振動させる)

    浅井氏の提案による 卵形曲線(回転する円の半径と中心を振動させる)の方程式 は次のとおりです。

                     .                        (3)

    (3)式をコンピュータで計算させてグラフに表すと,図3のようになります。



    a=1.35, b=0.9, c=0.5 の場合と現実の卵との比較を図4に示します。 図4を見て分かるように、卵形曲線は現実の卵の形とほぼ一致しているようです。








図4 a=1.35, b=0.9, c=0.5 のときの
卵形曲線
(ピンク色のカーブ)
現実の卵の形との比較

    (2)式を数値計算して図3の曲線群を得るための C++ プログラムはこちら 曲線群の計算プログラム 2bです。 画面表示のプログラムをマウスでドラッグしてコピーを取ると、自由にご利用できます。
    また、図3のうちの1個の曲線を得るための C++ プログラムはこちら 1個の曲線の計算プログラム 2です。 このプログラムで、a, b, c の数値を変えることにより曲線の形を変えることができます。
    次に、 C++ システム・ファイル上の「ファイル」の中の 「新規作成」をクリックすると、編集画面が現れますが、 この画面に上記コピーしたプログラムを貼り付けます。場合によっては編集も行います。そして、 「ビルド」をクリックすると実行ファイルが作成されます。 さらに、「実行」をクリックすることにより、上記どちらのプログラムでも、 「egg_shaped_curve.txt」という名のテキストファイルが作られて、 計算されたデータ(卵形曲線上の各 x-y 座標点の座標データ)が格納されます。
    次に、このテキストファイルに格納されたデータをエクセルファイルに移し変えます。それには、エクセルファイルの 「外部データの取り込み」機能で行います。 ただし、ここに紹介した計算プログラムの場合、テキストファイルに保存される データ間の仕切りはカンマ()で指定してありますので、 「外部データの取り込み」にはこれを選択します。
    最後に、エクセルファイルに移された各列の x-y 座標データ全てをドラッグした後に、エクセルファイルにある 「グラフ ウィザード」をクリックして、 その中の「散布図」を選び、スムーズなカーブになる絵図をクリックすると卵形曲線が描かれます。



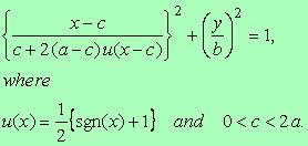
3.   2個の楕円をつなぎ合わせる方法、すなわち、 卵形曲線(ヘビサイド関数を使用する簡易な方法)
図5 卵形曲線(ヘビサイド関数を使用する蛇道な方法)

    浅井氏の提案による、2個の楕円をつなぎ合わせて卵形に近づける 簡便な方法、すなわち、ヘビサイド関数を使用する蛇道な方法があります。 その方程式は sgn 関数(符号関数)

                                             (4)

を使って次のようです。

                                           (5)
    なお、c=a のときは1個の楕円になります。

    (5)式をコンピュータで計算させてグラフに表すと,図5のようになります。

    a=1, b=0.72, c=0.9 の場合と現実の卵との比較を図6に示します。 図6を見て分かるように、卵形曲線は現実の卵の形とよく合っているようです。



図6 a=1, b=0.72, c=0.9 のときの
卵形曲線
(ピンク色のカーブ)
現実の卵の形との比較

    (5)式を数値計算して図5の曲線群を得るための C++ プログラムはこちら 曲線群の計算プログラム 2bです。 画面表示のプログラムをマウスでドラッグしてコピーを取ると、自由にご利用できます。
    また、図5のうちの1個の曲線を得るための C++ プログラムはこちら 1個の曲線の計算プログラム 2です。 このプログラムで、a, b, c の数値を変えることにより曲線の形を変えることができます。
    次に、 C++ システム・ファイル上の「ファイル」の中の 「新規作成」をクリックすると、編集画面が現れますが、 この画面に上記コピーしたプログラムを貼り付けます。場合によっては編集も行います。そして、 「ビルド」をクリックすると実行ファイルが作成されます。 さらに、「実行」をクリックすることにより、上記どちらのプログラムでも、 「egg_shaped_curve.txt」という名のテキストファイルが作られて、 計算されたデータ(卵形曲線上の各 x-y 座標点の座標データ)が格納されます。
    次に、このテキストファイルに格納されたデータをエクセルファイルに移し変えます。それには、エクセルファイルの 「外部データの取り込み」機能で行います。 ただし、ここに紹介した計算プログラムの場合、テキストファイルに保存される データ間の仕切りはカンマ()で指定してありますので、 「外部データの取り込み」にはこれを選択します。
    最後に、エクセルファイルに移された各列の x-y 座標データ全てをドラッグした後に、エクセルファイルにある 「グラフ ウィザード」をクリックして、 その中の「散布図」を選び、スムーズなカーブになる絵図をクリックすると卵形曲線が描かれます。




~ブラウザの「戻る」で 前に開いたページに戻ります~

~または、下のボタンを押して HOME に戻ります~


HOME

Updated: 2009.09.18, added; 2009.10.17, edited by N. Yamamoto.
Revised on Feb. 06, 2015, Mar. 16, 2015, Mar. 03, 2020, May 05, 2020, Jan. 17, 2021, May 08, 2021. Sep. 23, 2021, Nov. 01, 2021 and Mar. 06, 2022.