TDCC Laboratory
TDCC 研究室

   HOME ENGLISH                                         

3D スパイラル曲線

Joshua Gottdenker 氏(スウェーデン)、Svein Daniel Solvenus 氏(ノルウェー)、
浅井康之 氏(数学独学塾塾長)(東京都町田市)、山本信雄

    2011年1月にスウェーデンのジョシュア・ゴットデンカー氏(以下、ジョシュア氏)から 球面のスパイラル曲線を紹介され、 卵形曲線にも出来ないか、とのメールが寄せられました。山本がスパイラル曲線の式を作り、3次元(3D)における曲線の数値座標を計算しました。 それをエクセルファイルに書き込んだ結果を ジョシュア氏、および、同時期に山本と連絡があったスヴェイン・ダニエル・ソルヴェヌス氏 (以下、ダニエル氏)とのご協力を得て、3D画像を作成していただきました。卵形とリンゴ形の双方で行います。


1. 一般的表示

    一般的な表示は、浅井康之氏(塾長室を参照)に教えていただきました。 それは次のような方法です。回転対称な閉曲線に対しては一般的と言えましょう。
    (x, y)平面で定義された閉曲線を縦に立てるために (z, x)平面に書き換えた次の閉曲線を考えます。
                     ,                        (1)
ただし、t はある媒介変数です。この閉曲線を z の周りに回転して出来る閉曲面の方程式が次の式で表せる、というものです。
                     ,                        (2)
ただし、は (y, z)平面における位相角で、 0 < < 2。 媒介変数 t と位相角の関係式を別に作る必要があります。 最も簡単なのは、ある定数 c を使って
                     ,                        (3)
とすることです。


2. 卵形スパイラル

    (x, y)平面における卵形曲線の方程式は卵形曲線のページの(9b)式ですが、 上記(1)式の表示に従って、次のようにします。
                     .                        (4)
    上記(2)のように次式に書き換えます。
                     ,                        (5)
ただし、は (y, z)平面における位相角で、 0 < < 2。 この場合の媒介変数 z と位相角の関係は(3)式に相当して
                     ,                        (6)
としました。

    (5)式をコンピュータで計算させた結果、ジョシュア氏、ダニエル氏それぞれにより図1および図2の3D画像が得られます。

    次に、(6)式の代わりに次式を用いると、ジョシュア氏、ダニエル氏それぞれにより図3および図4の3D画像が得られます。
                     .                        (7)

図1 (5)式と(6)式を用いた
ジョシュア氏が作成の卵形スパイラル
図2 (5)式と(6)式を用いた
ダニエル氏が作成の卵形スパイラル

図3 (5)式と(7)式を用いた
ジョシュアが作成の卵形スパイラル
図4 (5)式と(7)式を用いた
ダニエル氏が作成の卵形スパイラル

    (5)式と(7)式を用いて図1から図4を得るための C++ プログラムはこちら 卵形スパイラルの計算プログラムです。
    次に、 C++ システム・ファイル上の「ファイル」の中の 「新規作成」をクリックすると、編集画面が現れますが、 この画面に上記コピーしたプログラムを貼り付けます。場合によっては編集も行います。そして、 「ビルド」をクリックすると実行ファイルが作成されます。 さらに、「実行」をクリックすることにより、上記どちらのプログラムでも、 「egg_spiral.txt」という名のテキストファイルが作られて、 計算されたデータ(卵形曲線上の各 x, y, z 座標点の座標データ)が格納されます。
    次に、このテキストファイルに格納されたデータをエクセルファイルに移し変えます。それには、エクセルファイルの 「外部データの取り込み」機能で行います。 ただし、ここに紹介した計算プログラムの場合、テキストファイルに保存される データ間の仕切りはカンマ()で指定してありますので、 「外部データの取り込み」にはこれを選択します。
    最後に、エクセルファイルに移された各列の x, y, z 座標データ全てをドラッグした後に、エクセルファイルにある 「グラフ ウィザード」をクリックして、 その中の「散布図」を選び、 スムーズなカーブになる絵図をクリックすると卵形スパイラルが描かれます。


3. リンゴ形スパイラル

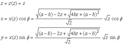
    (x, y)平面におけるリンゴ形曲線の方程式はリンゴ形曲線の方程式のページの(3)式ですが、 上記(1)と(2)式の手順に従って行い、次のリンゴ形スパイラルの式を作りました。
                     ,                        (8)
ただし、は (y, z)平面における位相角で、 0 < < 2。 この場合の媒介変数 z と位相角の関係は(3)式を用いました。

    (3)式と(8)式をコンピュータで計算させた結果、ジョシュア氏により図5および図6の3D画像が得られます。2D表示の正面図と平面図は図7のようになります。

図5 (3)式と(8)式を用いた
ジョシュア氏が作成の
リンゴ形スパイラル
図6 同左
図7 (3)式と(8)式を用いた
リンゴ形スパイラルの
正面図と平面図

    (3)式と(8)式を数値計算して図5, 6, 7 を得るための C++ プログラムはこちら リンゴ形スパイラルの計算プログラムです。



~ブラウザの「戻る」で 前に開いたページに戻ります~

~または、下のボタンを押して HOME に戻ります~


HOME

Updated: 2011.01.22, edited by N. Yamamoto.
Revised on Mar.16, 2015, Jul. 24, 2016, May 05, 2020, Oct. 07, 2020, Jan. 30, 2021, May 05, 2021 and Mar. 22, 2022.